目录
层流和湍流流量|什么是reynolds号码
层流和湍流 - 介绍
当谈到流体流动时,我们指的是理想流体的流动。假定这种流体没有粘度。这是一种不存在的理想化的情况。当涉及到实际流体的流动时,引入了粘度的影响。当相邻流体颗粒以不同的速度移动时,这就导致了它们之间剪应力的发展。在理想流体在直线管道中流动的情况下,所有的粒子以相等的速度在平行线上运动。在真实流体的流动中,靠近壁面的速度为零;它在离壁很短的距离内迅速增加,并产生如图所示的速度剖面
阅读更多:
管道中有两种类型的流量:
1.层流:
这也称为流线或粘性流动,并且在流动流动中示出,流体似乎通过相对于相邻层的无限厚度的叠层滑动而移动;也就是说,粒子在明确和可观察的路径或流线上移动。粘性流体的流动特性是粘度起到重要部分的流动特性。
2.脉动流动:
它在图中示出了它的特征在于流体以随机方式流动。颗粒的运动在垂直的方向上向上和向下波动,垂直于平均流动方向。
这种混合作用由于流体粒子的碰撞而产生湍流。这造成了相当大的流动阻力,因此比层流产生的能量损失更大。湍流的一个显著特征是它的不规则性,不像波浪运动那样有确定的频率,也不像大涡流那样有可观察到的模式。
Reynolds号码
在通过完全填充导管的流体的流动中,重力不会影响流动模式。显而易见的是,毛细血管没有实际重要性,因此显着的力是由于粘度引起的惯性力和流体摩擦。对于以低于速度行驶的飞机,它是真的,在那里空气的可压缩性是可观的。此外,对于潜水艇淹没,以免在表面上产生波浪,所涉及的唯一力量是那些
摩擦和惯性。
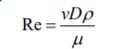
考虑到惯性力与粘性力的比率,所获得的参数称为雷诺数,以纪念奥斯本雷诺兹于1882年展示了他的实验工作的出版物。他进行了一系列实验,以确定管理条件从层流到流动到湍流的过渡。Reynolds逐渐得出了,流程的性质取决于无量纲参数,即
在哪里
ν是流体速度,
D是管道的内径,
ρ是流体密度和
μ是流体的绝对粘度。
1.如果Re小于2000,则为层流。
2.如果重新大于4000,则流动是湍流的。
3.雷诺数在2000 ~ 4000之间,在层流和湍流之间有一个临界区。
无法预测关键区域内存在的流量。因此,如果雷诺数位于临界区中,则应该假设湍流。如果允许湍流,则由于更大的摩擦能量损失,发生较高的流体温度。因此,可以通过增加管道直径来建立层流的管道直径来帮助遭受患有过量的流体温度的湍流流动系统。






