目录
使用Venturimeter进行流量测量
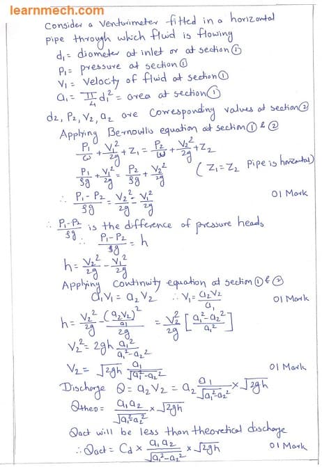
伯努利的定理:
或者
它指出,无论何时有液体的连续流动,只要没有能量的损失或增加,每一段的总能量保持不变。
在那里,
p / w =压力,
v ^ 2 / 2g =动能,
- 文丘里流量计,
- 孔板流量计,
- 喷嘴流量计或流量喷嘴,
- 转子流量计、弯头流量计(或管弯头流量计)、
- 皮托管
Venturi米的部分
1.一个短融合部分:
在会聚部分中,流动面积减小,因此流体的速度增加并且静压降低。通常,会聚角为21°±2°。
2.喉咙:
这是最小区域的圆柱形部分,其中速度最大,压力最小。喉部直径通常在管道的入口直径的0.25至0.5倍之间。喉咙的长度等于其直径。
3.不同部分:
发散部分是漫射器,其中该区域增加回管入口区域并因此增加了压力。为了回收所有压力,发散角度为5°7°。该角度必须保持较少,使得流动流体具有与管道壁分离的最小倾向。然而,具有小的角度,长度,因此文丘里米的成本将增加。因此,如果压力恢复并不重要,则发散角度可以保持高达14°。
适用于直径小于5厘米的管道的小型文丘里米,通常由黄铜或青铜制成。内表面平滑完成以减少摩擦。
大型的文丘里流量计通常由铸铁制成,喉部由黄铜或青铜制成。非常大的文丘里流量计,管道直径达6米,由光滑的表面混凝土制成。只有喉部是用机加工青铜制成的。
文丘里流量计原理:
文丘里流量计图:
文丘里流量计的建设
- 合资企业的入口是圆柱形的,以匹配流体流过的管道的大小。这使得企业能够安装到管道上。
- 进入后,有一个夹角为19′~ 23′的收敛圆锥截面。
- 在收敛段之后,有一个最小面积的圆柱形段,称为喉道。
- 在喉道之后,有一个包含角为5 '至15 '的发散锥形截面。
- 如图所示,风险表的入口和喉部(图1和2节)设有开口,用于连接压差传感器(u形管压力计、压差计等)。
文丘里仪表的工作操作:
- 要测量流量的流体以P1压力进入文丘里流量计的入口段。
- 随着来自文丘里仪表的入口部分的流体流入融合部分,当它进入喉部时,其压力保持降低并达到最小值P2。也就是说,在喉部中,流体压力P2将最小。
- 安装在文丘里流量计入口和喉部之间的压差传感器记录压差(P1-P2),当校准时,压差将指示流体通过管道的流量。
- 已经提供了发散部分以使流体能够重新获得其压力并因此获得其动能。较小的发散部分的角度,恢复越大。
文丘里计实际流量公式:
U形管压力计给出的价值
Sℎ=压力计中使用的较重流体的比重
所以=流体流过管道的比重
x =压力计中较重流体的级别差
Sl =用于压力计的打火机油的比重
所以=流体流过管道的比重
X =压力计压力表中较轻流体水平的差异
液压系数,
速度系数(CV)
收缩系数(Cc)
放电系数(CD)
文丘里流量计的应用:
Venturimeter的应用如下:
- 它适用于需要高压回收的场合。
- 它可用于测量水,气体,悬浮固体,浆料和脏液体的流速。
- 它可用于测量几米直径的管道中的高流速。
文丘里流量计的优点
Venturimeter的优点如下:
- 更少的机会被沉积物堵塞
- 流量系数高。
- 它的行为可以被完美地预测。
- 可垂直、水平或倾斜安装。
文档尺寸的缺点:
Venturimeter缺点如下,
- 它们体积大,因此在空间有限的地方,它们不能被使用。
- 昂贵的初始成本、安装和维护。
- 需要长长的铺设长度。也就是说,Venturimeter具有Ti的直管,其不含配件和未对准,以避免湍流流入,以便进行令人满意的操作。因此,矫直叶片是必须的。
- 它不能用于直径小于7.5厘米的管道。








