表的内容
旋转叶片压缩机或叶片鼓风机
旋转压缩机适用于由感应电机或多缸汽油或柴油发动机直接驱动。这种装置结构紧凑,相对便宜,并且只需要最低限度的操作注意和维护。它们只占同等容量的往复式机械空间和重量的一小部分。回转式压缩机机组一般分为滑动叶片型、阀瓣型和液密封环型三大类。
叶片式压缩机的结构和工作:
- 它包括一个转子偏心安装在一个圆形的套管,并由球和滚子轴承在机体端盖的支持,如图所示。
- 一组由非金属材料(如纤维或碳)制成的弹簧加载叶片安装在转子的槽中。
- 当转子旋转时;离心力作用在叶片上,使叶片甩出,使转子的所有角位置都与壳体接触。
- 叶片把转子和机壳之间的空间分成若干个隔间。
- 两个连续的叶片形成一个室,由于转子的偏心运动,每个室的体积不断变化。
- 吸力侧开向大面积叶片;因此,随着转子旋转;P1压力下V1的空气体积被困在转子叶片和机壳之间。
- 递送侧开向一个小得多的;因此转子和机壳之间的空间减小,空气体积减少了V2,压力增加了P2。
- 总压力上升的一半发生在内部可逆压缩之前,夹住的空气是开放到输出端口。
- 由于高压空气从容器中暂时回流,空气以不可逆的方式进一步压缩。
- 图中显示了叶片式压缩机压缩过程的P-V图。
叶片压缩机所做的工作:
功方程
过程1 - 2
在压缩过程中,1 - 2;体积从V1减少到V2,压强从P1增加到P2,遵循PV ^γ = C定律。
过程2 - 3
在压缩过程2 - 3中,由于背压来自已压缩空气的接收端被假定为体积不变。
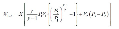
对于X个叶片,在过程1-2和2-3中所做的总功为:
叶片式压缩机的应用:
叶片压缩机或叶片鼓风机的应用如下:
1)容量可达150m3 /min。
2)压力比高达9bar。
叶片式压缩机优点:
叶片压缩机或叶片鼓风机的优点如下:
1)转子和叶片只是压缩机内的运动部件。
2)不需要阀门。
3)卸料完整,无间隙容积。
4)该操作为正驱替,即气体被吸入,被捕获,并通过叶片的运动进行正驱替。
叶片式压缩机的缺点:
叶片式压缩机的缺点如下:
强迫叶片回到转子中所涉及的压力将引起一些振动。
2)转速限制在3000转/分。
3)叶片尖端必须润滑,以减少叶片与机匣之间的摩擦。
更多的资源/文章








