目录
Roots Blower
根部鼓风机是阀门的位移压缩机,没有内部压缩。
鼓风机通常是风冷和无油的。它们的低效率将这些鼓风机限制在单个阶段中的非常低压的应用和压缩,即使有两个和三级版本可用。罗茨鼓风机经常用作真空泵和气动输送。
Root blower Compressor Diagram :
根鼓风机的施工和工作:
- The two-lobe type roots blower is shown in Fig. One of the rotors is connected to an external drive and the second rotor is driven from the first.
- The lobes of the rotors are of cycloid or involute form giving correct mating to seal the delivery side from the inlet side.
- The high-pressure delivery side is sealed from the low-pressure suction side at all angular positions and this sealing continues until delivery commences.
- 为了减少磨损,在叶片和壳体之间提供小间隙(即0.01cm至0.02cm)。
- The clearance however forms a leakage path and has an increasingly adverse effect on efficiency as the pressure ratio increases.
- During rotation, the volume of air ‘V’ at atmospheric pressure ‘P’ is trapped between the left-hand rotor and the casing, and this air is positively displaced at constant pressure without a change in volume until the space opens to high-pressure region.
- 从理论上讲,应该没有压力;因为流量区域不会从入口下降到退出。
- But when the outlet port opens, the high-pressure air in the receiver offers resistance to the delivery of blower discharge causing in instantaneous irreversible pressure rise.
- The air in space ‘A’ and ‘C’ is at atmospheric pressure P1 and the air in the space B increases in pressure to the value of receiver pressure P2.
- The irreversible pressure rise from P1 to P2 at constant volume is shown in the P-V diagram.
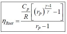
根气鼓风机的效率
根效率定义为对实际工作所做的等熵作品的比率,并且由其给出,
根效率=(完成/实际工作完成)
这个方程表明roo的效率t decreases with the increase in pressure ratio.
根鼓风机的应用:
根鼓风机的应用如下:
- Scavenging and supercharging of I.C. Engines.
- 输送能力:0.14立方米/分钟至1400 m3 / min。
压力比:2:1为单级,3:1为两级。 - 电解箱 -将空气输送到电解槽中,以便循环电解质以实现更好的电镀质量。
- Paper Feeding for Printer- 用于纸张隔离,纸张处理和送纸。
- Cleaning the Piping –从管道中吹出灰尘或金属,以保持管道清洁。
- 干燥输送带 -用于干燥小型输送带。
- Wastewater Treatment –搅拌沉积物,或纯化水处理厂。
根鼓风机的优点:
根鼓风机与另一种类型的压缩机有一些优点,它们如下,
1) It has only two moving parts (i.e two rotors) which are identical in shape and size.
2)其操作完全是旋转性的。
3)随着转子对其旋转中心对称,操作是动态平衡。
4)压缩气体的排出完成,没有间隙。
根鼓风机缺点
- In the range of partial load, the conveying speed is higher, i.E. Wear on the conveyor pipe and breakage of the conveying material will be greater.
- 一旦选择的传送速度只能以相当大的支出改变。
- 由于低频噪声(脉动输送气流),需要昂贵的噪声阻尼设备。
- 为了不超过操作压力,必须安装控制装置;由于活塞清除狭窄。
- 根部鼓风机对异物敏感,即需要对输送空气的过滤清洁。
- 在更长的使用后,活塞清除变大并导致容量损耗。
更多资源/文章
Fluid Mechanics - Notes , articles , Interview Que. & Ans








